Magnetic Permeability
Magnetic permeability is a physical quantity that characterizes the magnetism of a magnetic material. It represents the resistance to the generation of magnetic flux when current flows through a coil in space or in the core, or its ability to
conduct magnetic lines of force in a magnetic field. The formula is as follows:

Magnetic Permeability
Magnetic permeability is a physical quantity that characterizes the magnetism of a magnetic material. It represents the
resistance to the generation of magnetic flux when current flows through a coil in space or in the core, or its ability to conduct magnetic
lines of force in a magnetic field. The formula is as follows:

Initial permeability
Refers to the permeability of the basic magnetization curve when H → 0:

Measurement of magnetic permeability
The measurement of magnetic permeability is an indirect measurement. It involves measuring the inductance of the
coil wound on the magnetic core and then calculating the magnetic permeability of the core material using a formula.
The instrument used to test magnetic permeability is an inductance meter.

L is the inductance, D is the magnetic path length of the core, A is the cross-sectional area of the core, µ0 is the permeability of free space, and N is the number of turns of the coil.

The magnetic permeability of ferrites varies with different materials. The figure shows the relationship between initial permeability and frequency. When the frequency exceeds 1000 kHz, the initial permeability starts to decrease, so special attention must be paid to the frequency characteristics of the core material when designing ultra-high frequency transformers and inductors.
Curie Temperature (TC)
The Curie temperature is the temperature at which a magnetic material transitions from ferromagnetism to paramagnetism. At this temperature, the magnetism of the material becomes very weak or disappears. There are various ways to represent it, but it is generally measured as shown in the figure below. As the temperature rises, when the magnetic permeability decreases to 80% and 20% of its maximum value, a line drawn between these two points, extended to intersect the temperature axis, corresponds to the Curie temperature. This temperature determines the upper limit of operation for magnetic devices.

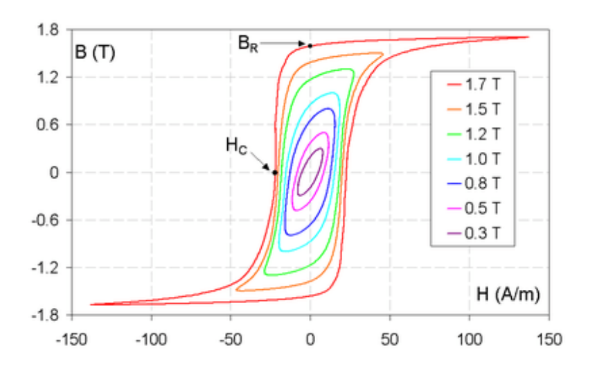
Saturation Magnetic Induction BS, Residual Magnetic Induction BR, Coercive Force HC
Due to the irreversible magnetization of soft magnetic materials in alternating magnetic fields, a hysteresis loop is formed, as shown in Figure 6.
BS is the magnetic flux density when magnetized to the saturation state. BR is the residual magnetic flux density remaining after the magnetic field
is removed from the magnetically saturated state. HC is the magnetic field strength required to continue magnetizing the core in the opposite direction
after the magnetic field is removed from the magnetically saturated state, until the magnetic flux density decreases to zero. This magnetic field strength
is called the coercive force.

The relationship between saturation magnetic flux density and remanent magnetic flux density with temperature: Both saturation magnetic flux density and remanent magnetic flux density decrease as temperature rises. When designing transformers, inductors, and common-mode chokes, 80%-90% of the saturation magnetic flux density at high temperature should be taken as the design parameter.

Magnetic Loss
Refers to the phenomenon where the work done by an external force on a magnetic material during magnetization or demagnetization is converted into heat.
It includes three types: hysteresis loss, eddy current loss, and residual loss. During magnetization in a strong magnetic field, hysteresis loss and eddy current loss
are predominant; in weak magnetic field magnetization, residual loss can account for a large proportion in some materials.
Eddy current loss occurs when alternating magnetic flux induces electromotive force and current within the core, known as eddy currents.
Eddy current loss refers to the energy loss caused by induced currents within a conductor when it moves in a non-uniform magnetic field or is exposed
to a time-varying magnetic field. The magnitude of eddy current loss is related to factors such as how the magnetic field changes, the movement of the
conductor, the conductor's geometric shape, and the conductor's magnetic permeability and electrical conductivity.

Hysteresis Loss
Hysteresis loss is the energy loss that occurs when ferromagnetic materials are repeatedly magnetized under an alternating magnetic field
due to the continuous friction between magnetic domains. The magnitude of hysteresis loss is proportional to the area of the hysteresis loop.
Soft magnetic materials have high magnetic permeability, inconspicuous hysteresis characteristics, low remanence, narrow hysteresis loops,
and small hysteresis loss. Hard magnetic materials have high remanence, obvious hysteresis characteristics, wide hysteresis loops, and large hysteresis loss.
The relationship between core loss and temperature is shown in the figure. The lower the temperature, the smaller the core loss. By controlling the temperature at the point where the core material has minimal loss, the power supply efficiency can be improved.
As can be seen from the figure, when the frequency increases from 100KHz to 200KHz, the loss increases by nearly 10 times, so higher frequency places higher demands on the magnetic core material. It should be noted that not all magnetic core materials have the lowest loss at 100°C, as shown in the figure below:

The magnitude of the magnetic flux density through the core is also related to the loss. The greater the magnetic flux density passing through, the greater the core loss; conversely, the lower the magnetic flux density passing through, the smaller the core loss.